Page 99 - Сборник трудов научно-исследовательских работ студентов МАИ
P. 99

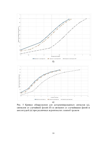
б)


















                                             в)
               Рис.  5  Кривые  обнаружения  для  детерминированных  сигналов  (а),
               сигналов со случайной фазой (б) и сигналов со случайными фазой и
               амплитудой (в) при различных вероятностях ложной тревоги










                                             99
   94   95   96   97   98   99   100   101   102   103   104